• Finanzen / Bilanzen

    Traction Uranium kündigt für das Frühjahr geplante Explorationsarbeiten auf dem Projekt Aurora im Südosten des Athabasca-Beckens an

    Traction Uranium Corp. (CSE: TRAC) (OTC: TRCTF) (FWB: Z1K) (das „Unternehmen“ oder „Traction“) freut sich, sein für das Frühjahr geplantes Explorationsprogramm auf dem Projekt Aurora („Aurora“ oder das „Projekt“) in der Region des Athabasca-Beckens in Saskatchewan bekannt zu geben. Das Unternehmen beabsichtigt, hier eine radiometrische Flugvermessung über dem Projektgelände zu absolvieren. Das Unternehmen verfügt über eine Option auf den Erwerb einer 80%igen Beteiligung an Aurora von Cosa Resources Corp., dem zugrunde liegenden Eigentümer und Betreiber des Projekts, die an die Erfüllung bestimmter Earn-in-Bedingungen geknüpft ist. Aurora erstreckt sich über eine aussichtsreiche Streichlänge von rund 17 Kilometern am südöstlichen Rand des Athabasca-Beckens und befindet sich etwa 16 Kilometer östlich der Uranmühle und ehemals…

    Kommentare deaktiviert für Traction Uranium kündigt für das Frühjahr geplante Explorationsarbeiten auf dem Projekt Aurora im Südosten des Athabasca-Beckens an
  • Finanzen / Bilanzen

    First Phosphate veröffentlicht Analyseergebnisse zu seinem Infill-Bohrprogramm im Konzessionsgebiet Begin-Lamarche

    First Phosphate Corp. („First Phosphate“ oder das „Unternehmen“) (CSE: PHOS) (OTCQX: FRSPF) (OTCQX ADR: FPHOY) (FWB: KD0) freut sich, die Analyseergebnisse zu seinem Infill-Bohrprogramm bekannt zu geben, das am 31. März 2026 in seinem Konzessionsgebiet Bégin-Lamarche in der Region Saguenay-Lac-Saint-Jean in der kanadischen Provinz Quebec abgeschlossen wurde. Wie bereits angekündigt, hat die vom Unternehmen vor kurzem durchgeführte Infill-Bohrkampagne in den drei Hauptzonen (Mountain, North und South) eine ausgedehnte, durchgehend verlaufende Mineralisierung über den gesamten bestehenden Horizont des Bereichs der ersten Mineralressourcenschätzung („MRE“) sowie zwei neue Phosphatabschnitte bestätigt. Die bereits bekannten Mineralisierungszonen sowie die zwei neu entdeckten Abschnitte wurden nun in allen Richtungen und auch in der Tiefe definiert. Auf Grundlage…

  • Finanzen / Bilanzen

    Abcourt durchteuft bei Bohrungen auf seinem Konzessionsgebiet Flordin in der östlichen Erweiterung des Abtragungsgebiets Cartwright 1,7 g/t Gold auf 12 Metern, einschließlich 1 Meter mit 15,2 g/t Gold

    Abcourt Mines Inc. („Abcourt“ oder das „Unternehmen“) (TSX Venture: ABI) (OTCQB: ABMBF) freut sich bekannt zu geben, dass das Unternehmen alle Bohrungen östlich des Abtragungsgebiets bei Cartwright („Cartwright-Stripping“) bis zur Grenze seines Konzessionsgebiets Flordin mit dem Konzessionsgebiet Kinebik, das sich nun im Besitz der Vior Gold Corporation befindet, abgeschlossen hat (siehe Abbildung 2). Auf zwei in Nordwest-Südost-Richtung verlaufenden Linien wurden elf (11) Bohrlöcher über insgesamt 2.960 Meter niedergebracht. Im Rahmen der Bohrkampagne 2026, die 20.000 Meter umfassen soll, wurden bislang 3.900 Bohrmeter absolviert. Das nächste Gebiet, in dem gebohrt wird, liegt 300 Meter westlich des Abtragungsgebiets bei Cartwright. Mit vier (4) Bohrlöchern sollen die Erweiterungen der Abtragungsgebiete Nr. 25-02 (9,5 g/t…

    Kommentare deaktiviert für Abcourt durchteuft bei Bohrungen auf seinem Konzessionsgebiet Flordin in der östlichen Erweiterung des Abtragungsgebiets Cartwright 1,7 g/t Gold auf 12 Metern, einschließlich 1 Meter mit 15,2 g/t Gold
  • Finanzen / Bilanzen

    Core Silver und Arcus Development Group unterzeichnen verbindliche Absichtserklärung hinsichtlich Geschäftszusammenschluss sowie endgültige Optionsvereinbarung für das Projekt Touleary

    Core Silver Corp. (CSE: CC) (FWB: 8ZR) (OTCQB: CCOOF) („Core Silver“) und Arcus Development Group Inc. (TSXV: ADG) („Arcus“ und zusammen mit Core Silver die „Unternehmen“) freuen sich bekannt zu geben, dass sie Folgendes unterzeichnet haben: –          eine verbindliche Absichtserklärung vom 26. April 2026 (der „LOI“) zwischen den Unternehmen, um einen Geschäftszusammenschluss durchzuführen, der zum Erwerb aller ausgegebenen und ausstehenden Stammaktien von Arcus (jeweils eine „Arcus-Aktie“ und zusammen die „Arcus-Aktien“) durch Core Silver im Verhältnis 1:1 im Rahmen einer reinen Aktientransaktion (die „geplante Transaktion“) führen wird, um schließlich ein fusioniertes Unternehmen (der „resultierende Ausgeber“) zu bilden; und –          eine endgültige Optionsvereinbarung vom 26. April 2026 (die „Optionsvereinbarung“) zwischen den Unternehmen, der zufolge…

    Kommentare deaktiviert für Core Silver und Arcus Development Group unterzeichnen verbindliche Absichtserklärung hinsichtlich Geschäftszusammenschluss sowie endgültige Optionsvereinbarung für das Projekt Touleary
  • Energie- / Umwelttechnik

    Yukon Metals erwirbt Option auf ein Kupfer-Gold-Projekt von Ryan Burke, einem bekannten Prospektor aus dem Yukon, und festigt damit seine Position im aufstrebenden Bezirk Birch

    Yukon Metals Corp. (CSE: YMC, FWB: E770, OTCQB: YMMCF) („Yukon Metals“ oder das „Unternehmen“) freut sich bekannt zu geben, dass das Unternehmen mit Ryan Burke („Burke“), einem Geologen und Prospektor aus dem Yukon, eine Optionsvereinbarung (die „Vereinbarung“) abgeschlossen hat, um sämtliche Rechte und Anteile (100 %) am Kupfer-Gold-Konzessionsgebiet Sumo (das „Konzessionsgebiet Sumo“ oder das „Konzessionsgebiet“), rund 10 Kilometer („km“) östlich des unternehmenseigenen Projekts Birch im Südwesten des Yukon, zu erwerben. Das Konzessionsgebiet besteht aus 75 Quarz-Claims mit einer Gesamtfläche von ungefähr 1.875 Hektar und erweitert den Grundbesitz des Unternehmens in einem Kupfer-Gold-Gürtel in Distriktgröße, der Potenzial für eine Mineralisierung vom Porphyr- und Skarntyp bietet (Abbildung 1). Highlights –                 Option auf den…

    Kommentare deaktiviert für Yukon Metals erwirbt Option auf ein Kupfer-Gold-Projekt von Ryan Burke, einem bekannten Prospektor aus dem Yukon, und festigt damit seine Position im aufstrebenden Bezirk Birch
  • Finanzen / Bilanzen

    Eureka Lithium Corp. meldet Abschluss eines überzeichneten LIFE-Angebots und gleichzeitiger Privatplatzierungen

    Eureka Lithium Corp. (CSE: ERKA) (OTCQB: UREKF) (FWB: S580) („Eureka“ oder das „Unternehmen“) freut sich, den Abschluss seiner bereits angekündigten, nicht über einen Broker vermittelten Privatplatzierung einer Reihe von Einheiten (die „Einheiten“) des Unternehmens, unter anderem von Einheiten, die im Rahmen der LIFE-Ausnahmeregelung (nachstehend definiert) platziert wurden (das „LIFE-Angebot“), mit einem Bruttoerlös von insgesamt ca. 6,3 Millionen $ bekannt zu geben. LIFE-Angebot Das Unternehmen gab 5.899.501 Einheiten zu einem Preis von 0,42 $ pro Einheit mit einem Bruttoerlös von insgesamt 2.477.790,42 $ aus, und zwar im Rahmen der Listed Issuer Financing Exemption (die „Ausnahmeregelung für Finanzierungen börsennotierter Emittenten“) gemäß Teil 5A des National Instrument 45-106 – Prospektbefreiungen in der durch…

  • Finanzen / Bilanzen

    Desert Gold beginnt mit einem 4.250 Meter umfassenden RC-Bohrprogramm auf wichtigen Zielgebieten des Projekts SMSZ

    Desert Gold Ventures Inc. (das „Unternehmen“) (TSX.V: DAU, FWB: QXR2, OTCQB: DAUGF) freut sich, den Beginn der Phase 1 des Reverse-Circulation-Bohrprogramms („RC“) bei seinem SMSZ-Projekt im Westen Malis bekannt zu geben. Das Programm umfasst RC-Bohrungen über eine Länge von ca. 4.250 Metern auf fünf vorrangigen Zielgebieten: Koussili, Gourbassi West North („GWN“), Mogoyafara South, Kolon-Soa und Barani Gap (Abbildung 1). Das Programm zielt darauf ab, die bekannte Mineralisierung zu erweitern, Ausdehnungen in Streichrichtung und in die Tiefe zu erproben sowie strukturell günstige Zonen auf höhergradige Mineralisierung zu untersuchen, während gleichzeitig das Ressourcenwachstum in der Nähe der geplanten Oxidgoldmine Barani East vorangetrieben wird. Dieses Bohrprogramm wird voraussichtlich im ersten Halbjahr dieses Jahres abgeschlossen…

  • Energie- / Umwelttechnik

    dynaCERT beschleunigt Markteintritt in Vietnam: Strategische Partnerschaften und Pilotprojekte bestätigen Marktpotenzial

    dynaCERT Inc. (TSX: DYA) (OTCQB: DYFSF) (FWB: DMJ) („dynaCERT“ oder das „Unternehmen“) treibt die Expansion seiner HydraGEN™-Technologie in Südostasien voran und gibt Fortschritte auf dem vietnamesischen Markt bekannt. Das Unternehmen ist mehrere strategische Partnerschaften mit nationalen Institutionen eingegangen und hat seine ersten Pilotanlagen erfolgreich in Betrieb genommen. Angetrieben durch eine Kombination aus raschem Wirtschaftswachstum und einer angespannten Energiesituation entwickelt sich Vietnam zu einem der attraktivsten Märkte der Welt für emissionsmindernde Technologien. Das Land verfügt über einen Fuhrpark von über 3,5 Millionen Schwerlastfahrzeugen, Bussen und Baumaschinen, die nahezu alle mit Dieselmotoren angetrieben werden. Angesichts steigender Kraftstoffpreise und der ehrgeizigen Ziele der Regierung, bis zum Jahr 2050 die Klimaneutralität zu erreichen, wächst der…

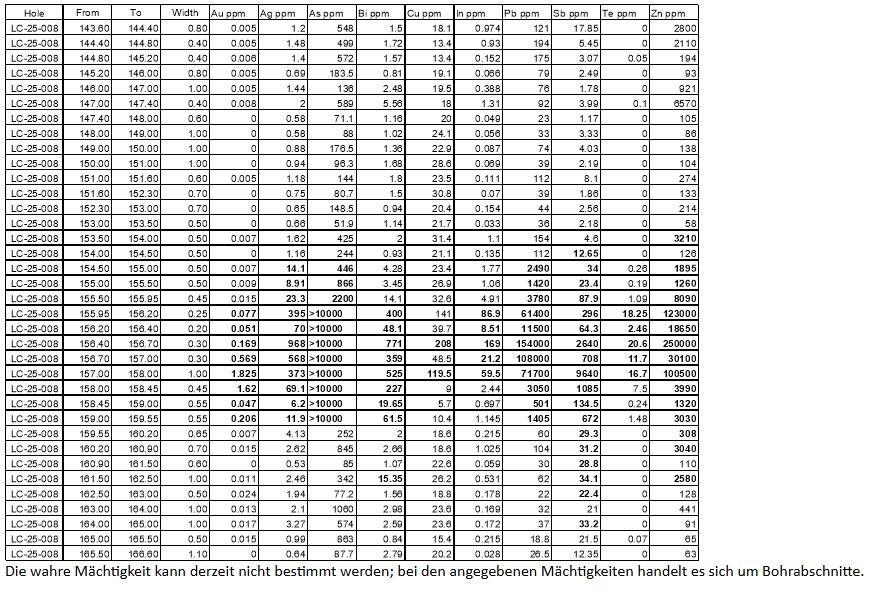
  • Finanzen / Bilanzen

    Neotech Metals bohrt in Hecla-Kilmer 408,4 m mit 0,53 % TREO, 4,2 % P2O5, 21,5 g/t Ga2O3 und 0,13 % Nb2O5

    Neotech Metals Corp. (CSE: NTMC | OTC: NTMFF | FWB: V690) („Neotech” oder „das Unternehmen”) freut sich, weitere Untersuchungsergebnisse aus seiner Bohr- und Probenahmekampagne 2025 über 10.000 Meter in seinem zu 100 % unternehmenseigenen Seltenerdprojekt Hecla-Kilmer in Ontario, Kanada, bekannt zu geben. Ziel des Programms waren 8.000 Meter an Definitions-, Erweiterungs- und Explorationsbohrungen in Zielgebieten, die in die für 2026 erwartete erste Ressourcenschätzung des Unternehmens einfließen sollen. Diese zweite Pressemitteilung zu dem Bohrprogramm umfasst die gemeldeten Ergebnisse und die dazugehörigen Tabellen und Kartenabbildungen, die nachstehend dargestellt sind. „Wir freuen uns, weiterhin lange, breite Zonen mit einer durchgehenden Mineralisierung ab der Oberfläche und in geringen Tiefen auf dem Projekt Hecla-Kilmer zu definieren, wodurch…

  • Finanzen / Bilanzen

    Adelayde Exploration leitet Arbeitsprogramm auf dem Wolframprojekt Sisson North direkt angrenzend an Northcliff Resources Ltd. ein

    Adelayde Exploration Inc. (das „Unternehmen“ oder „Adelayde“) (ADDY-cse) (SPMTF-usa) (A41AGV-wkn) freut sich bekannt zu geben, dass das Arbeitsprogramm auf seinem Wolframprojekt Sisson North in New Brunswick nun im Gange ist. Das Arbeitsprogramm wird hubschraubergestützte, aeromagnetische, radiometrische und VLF-Messungen über dem Projekt beinhalten. Das Wolframprojekt Sisson North grenzt direkt an die Wolframmine Sisson in New Brunswick an. Die Wolframmine Sisson wurde vom kanadischen Premierminister Mark Carney am 13. November als eines der ersten „Nation-Building-Projects“(1) ausgewählt. Northcliff Resources Ltd. meldete außerdem am 7. August 2025, dass es vom US-Verteidigungsministerium und von der kanadischen Regierung eine Finanzierung in Höhe von insgesamt rund 29 Millionen CAD erhalten hat, um sein Projekt voranzutreiben. Das Management weist darauf…

    Kommentare deaktiviert für Adelayde Exploration leitet Arbeitsprogramm auf dem Wolframprojekt Sisson North direkt angrenzend an Northcliff Resources Ltd. ein